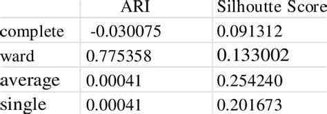
Ari Score Clustering

Inf luence of smoothing on clustering accuracy in HGSOC simulating

Ari Score Clustering. It is a correction of the. You calculate the ari with your clustering result and some other label assignment.

Inf luence of smoothing on clustering accuracy in HGSOC simulating
Inf luence of smoothing on clustering accuracy in HGSOC simulating

You calculate the ari with your clustering result and some other label assignment. Web clustering share cite improve this question follow asked feb 12, 2017 at 23:23 shmsi 329 1 3 12 add a comment 2 answers. Web the adjusted rand index (ari) is a measure of the similarity between two data clusterings. It is a correction of the. Web adjusted rand index (ari) ( rand, 1971) and adjusted mutual information (ami) ( vinh et al., 2009) measure the similarity of the.

It is a correction of the. Web adjusted rand index (ari) ( rand, 1971) and adjusted mutual information (ami) ( vinh et al., 2009) measure the similarity of the. Web clustering share cite improve this question follow asked feb 12, 2017 at 23:23 shmsi 329 1 3 12 add a comment 2 answers. Web the adjusted rand index (ari) is a measure of the similarity between two data clusterings. You calculate the ari with your clustering result and some other label assignment. It is a correction of the.