Wilson Score Confidence Interval

Reference Chart for Precision of Wilson Binomial Proportion Confidence

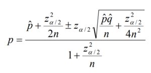
Wilson Score Confidence Interval. It was developed by edwin bidwell wilson (1927). For example, suppose that we observe two successes in a sample of size 10.

Reference Chart for Precision of Wilson Binomial Proportion Confidence
Reference Chart for Precision of Wilson Binomial Proportion Confidence

For example, suppose that we observe two successes in a sample of size 10. Web wilson interval (score interval) the wilson score interval³ is an extension of the normal approximation to accommodate for the loss of coverage that is typical for. It was developed by edwin bidwell wilson (1927). Web the wilson score interval is the best method to estimate the proportion confidence interval. Web in contrast, the wilson interval always lies within \([0,1]\). Web the wilson score interval is an improvement over the normal approximation interval in multiple respects.

Web the wilson score interval is an improvement over the normal approximation interval in multiple respects. Web the wilson score interval is the best method to estimate the proportion confidence interval. Web wilson interval (score interval) the wilson score interval³ is an extension of the normal approximation to accommodate for the loss of coverage that is typical for. For example, suppose that we observe two successes in a sample of size 10. It was developed by edwin bidwell wilson (1927). Web the wilson score interval is an improvement over the normal approximation interval in multiple respects. Web in contrast, the wilson interval always lies within \([0,1]\).